来源:Innodrugs
作者:木同
过多聚合物的产生是ADC研发制备过程中一个绕不开的难点问题。对于大多数目前在研的ADC,PAB结构(对氨基苄基-氨甲酰基)作为连接子中的自释放片段,是有效释放payload的必需结构。

然而,PAB结构的疏水性容易使制备ADC时产生较多的聚合物。因此,还需进一步研究开发新的连接子结构以克服上述问题。近期,乐普生物公开了一份与之相关的专利WO2024160176,本文将分享其中的一些内容。

抗体药物偶联物由三个部分组成:抗体(Ab)、连接子(linker)和小分子细胞毒药物(payload/warhead,弹头)。ADC的抗体部分应当具有肿瘤特异性、良好的内吞效率、良好的抗原亲和力,而且无或低免疫原性,IgG1是最常用的抗体部分。弹头部分一般都是作用于微管、DNA或RNA的细胞毒药物,如喜树碱类、美登素类、奥瑞他汀类等,需要有足够强的毒性、足够的水溶性,而且作用靶点位于细胞内。连接抗体和小分子细胞毒药物的连接子则要求在血液循环中稳定、在细胞内快速解体,可以高效地释放毒素。
本专利涉及的连接子药物偶联物具有式I所示的结构,

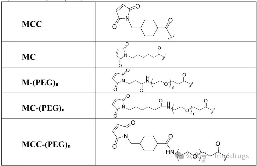
其中,M为包含马来酰亚胺(m)片段或包含环辛炔及其衍生物片段(如BCN、DIBO、DIBAC、BARAC等)的化学结构;包含马来酰亚胺(m)片段的化学结构可选自以下:

包含环辛炔及其衍生物片段可选自以下:

X为1-5个氨基酸或其衍生物组成的连接片段,具有代表性的连接子-毒素片段结构如下:


研究者考察了是否包含PAB结构在制备ADC时产生聚合物含量(HMW%)的差异,得出结论如下:

但是,研究者也指出:若linker中不含有PAB片段,其所连接的毒素中的胺基不是伯胺而是仲胺时,该连接片段并不能通过酶解反应有效地释放出毒素payload。

小结:本专利披露了在去除疏水性结构PAB的情况下,通过酶解反应释放payload,既能够降低Linker-Drug的疏水性,减少制备ADC时产生的聚合物含量,也可以表现出相应的细胞杀伤活性。
来源:Innodrugs
作者:木同
免责声明:“ 知闻传媒 ”官网所转载文章来源于其旗下知产荟萃及低空新视界平台,主要目的在于分享行业相关知识,传递当前最新资讯。图片、文章均属原作者所有,如有侵权请联系及时删除。



商秘案件 | “蜜胺”侵犯商业秘密罪案二审宣判,前员工被判5年6个月、罚280万!
会前必看!您有一封2024 新材料知识产权论坛的『参会指南』待查阅~
3D打印专利侵权:历时三年,Markforged败诉赔偿1.76亿元!
获赔五百多万,涉案聚丙烯装置已停产!华福工程“聚丙烯专有技术保卫战”首战告捷!
案例 | 近10年染料专利案落锤:浙江龙盛及子公司被判赔1950万
往期精彩回顾

会后图集 | 2024第二届亚太生物医药知识产权创新峰会在沪顺利收官,期待下次相遇!

创新驱动,产权护航:2024第二届化工知识产权与创新发展论坛 7月25-26日 在苏州顺利收官!

圆满落幕,明年再聚,“中国医疗器械知识产权发展高峰论坛”精彩回顾!
点击图片 查看原文
关于我们


“知产荟萃”是知闻传媒旗下一家专注于为医药、化工、新材料等知识产权领域从业者提供会议信息和前沿知识产权资讯的新媒体平台。
作为一个集信息交流、互动合作、知识分享功能于一体的平台,“知产荟萃”旨在打造一个专业人士的聚集地,共同推动知识产权领域的发展与进步。

海普思:作为知闻传媒战略合作伙伴,专注于专利翻译领域,立志打造世界级的专利翻译公司。
海普思擅长生物、医药、化学、ICT、机械、电学、汽车等领域,涵盖48个语种,译文可直接提交至当地专利商标局(PTO),且经过代理所的全文审核。其服务涵盖多个方面:专利文件翻译,例如 PCT 和巴黎公约申请递交文件(包含多种语种及文件类型);诉讼文件的外译中翻译(具备资质且得到法院认可);国际论坛上的口译(涉及中英日韩德法 6 种常用语言);以及 100 多种语言的法律文件翻译。【如有专利翻译需求可以扫码咨询】

